MATERI : ALJABAR Kategori : Mengenal Bentuk Aljabar Kelas : VII SMP
MATERI : ALJABAR
Bentuk aljabar adalah teknik yang digunakan untuk menyajikan suatu masalah matematika dengan simbol atau huruf sebagai peubah suatu objek dalam masalah tersebut.
Terdapat istilah umum yang perlu diketahui untuk memahami bentuk suatu aljabar dasar, yaitu:

Persamaan adalah suatu teknik matematika yang digunakan untuk menyamakan suatu permasalahan ke bentuk matematika dengan tanda persamaan atau sama dengan (=). Bentuk ini dapat berupa bentuk yang paling sederhana hingga kompleks. Persamaan dapat digunakan untuk membentuk suatu rumus matematika terhadap suatu masalah.
Contoh:
Masalah:
Jumlah kelereng Ayu dan Yuni adalah 10 buah. Jika kelereng yuni sebanyak 3 buah, berapa jumlah kelereng Ayu?
Diketahui:
Ubah Kelereng Yuni menjadi variabel y
Ubah kelereng Ayu menjadi variabel x
y = 3, maka nilai y adalah 3
x + y = 10
Catatan: x + y = 10 merupakan persamaan matematika dari jumlah kelereng Ayu dan Yuni
Ditanya:
berapakah nilai x?
Penyelesaian:
x + y = 10
x = 10 - y
Pada dasarnya untuk memindahkan suatu nilai ke ruas lain, sama artinya dengan menghilangkan nilai tersebut di ruas asal. Berikut penjelasannya untuk kasus di atas.
x + y = 10
x + y - y = 10 - y
x = 10 - y
Sehingga, untuk mempercepat perhitungan dapat langsung menulis lawan nilai yang dipindahkan.
x + y = 10
x = 10 - y
Diketahui nilai y = 3, diperoleh
x = 10 - 3
= 7
Karena nilai x = 7
Jadi, kelereng Ayu berjumlah 7 buahVariabel (Peubah)
Variabel adalah suatu simbol atau huruf yang digunakan untuk menggantikan suatu nilai yang bersifat tidak tetap (berubah-ubah tergantung persamaan yang memuatnya). Variabel dalam bahasa inggris disebut dengan "variable" (dieja ˈve(ə)rēəbəl) , dan juga disebut "peubah" dalam bahasa Indonesia. Variabel dapat disimbolkan dengan huruf latin (a, A, b, B, c, D, dst).
Pada persamaan tersebut, terdapat 3 variabel yaitu x, y, dan z.
Koefisien (Coefficient)
Koefisien adalah nilai yang digunakan untuk mengalikan suatu variabel. Koefisien dalam bahasa inggris disebut dengan "coefficient". Nilai koefisien = 1 dapat tidak ditulis.
Menghitung variabel dengan koefisien
Suatu persamaan 3x = 12, berapakah nilai variabel x? Penyelesaian: 3x = 12 3 * x = 12 x = 12/3 = 4 Catatan: perpindahan koefisien suatu ruas = membagi ruas lain dengan nilai koefisien tersebut Jadi, variabel x = 4Menghitung variabel dengan koefisien pada persamaan
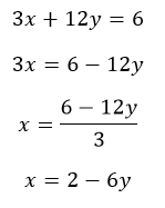
Menghitung nilai koefisien menjadi lebih kompleks saat ia berada pada suatu persamaan
Untuk menyelesaikan solusi variabel x dapat diperoleh dengan memisahkan semua objek selain x keruas kanan, berikut:
Untuk menyelesaikan solusi variabel y dapat diperoleh dengan memisahkan semua objek selain y keruas kanan, berikut:
Konstanta (Constant)
Konstanta adalah suatu nilai yang bersifat tetap (constant) pada suatu bentuk aljabar. Konstanta dalam bahasa inggris disebut dengan "constant". Ciri-ciri yang paling umum suatu konstanta yaitu tidak berikatan dengan suatu variabel. Untuk rumus-rumus khusus, konstanta dapat disimbolkan dengan huruf (misalnya: a, b, lainnya) atau berupa simbol khusus.
Contoh konstanta pada persamaan umum

Contoh konstanta pada rumus khusus
Suatu konstanta pada rumus-rumus khusus disimbolkan dengan nilai tertentu, misalnya

Eksponen (Pangkat)
Suatu variabel dalam suatu bentuk aljabar dapat memuat pangkat (eksponen). Operasi pangkat mempunyai prioritas kedua sejajar dengan operasi akar setelah tanda kurung dalam operasi hitung matematika.
Misalnya nilai x adalah 4, maka dapat dihitung nilai y sebagai berikut:

Derajat
Derajat pada suatu bentuk aljabar adalah nilai pangkat tertinggi yang dimuat variabel bentuk aljabar, berikut contohnya:
Bentuk Aljabar Derajat 3x 1 3x2 + 1 2 3x2 + 2x + 1 2 4x4 + 2y2 + 1 4 5x6 + y 6 Suku
Suku pada bentuk aljabar adalah total elemen yang dimuat oleh suatu bentuk aljabar. Suku digunakan untuk mempermudah mengkomunikasikan bentuk aljabar sehingga mudah untuk dibahasakan, berikut contohnya:
Aljabar s1 s2 s3 s4 suku 2x 2x - - - 1 2x+1 2x 1 - - 2 3x2+2x-1 3x2 2x 1 - 3 4x3+3x2+2x-1 4x3 3x2 2x 1 4 dan lainnya ... ... ... ... ... Suku-suku bentuk aljabar dibedakan menjadi suku sejenis dan suku tak sejenis:
7.1 Suku Sejenis
Suku sejenis adalah suku-suku yang mempunyai variabel dengan pangkat yang sama.
a) x, 2x, 3x, 4x, dan lain-lain.
b) xy3, 2xy3, 8xy3, dan lain-lain.
7.2 Suku Tak Sejenis
Suku tidak sejenis adalah suku-suku yang tidak mempunyai variabel yang sama.
a) 2x, 2y, 3z, 4w, dan lain-lain.
b) 8xy3, 3xy, dan lain-lain.






Komentar
Posting Komentar